• 페이스북
  • 트위터
  • 유튜브

국민연금은 65세부터인데…40대도 받는 공무원연금 특혜 논란

등록 2020.10.12 11:48:18

  • 이메일 보내기
  • 프린터
  • PDF

공무원연금 수령 개시자 61%가 60세 이하

40·50대에 연금받는 퇴직 공무원이 34.1%

국민연금보다 훨씬 더 빨리 받는 공무원연금

조기연금, 유족연금 등도 국민연금보다 혜택

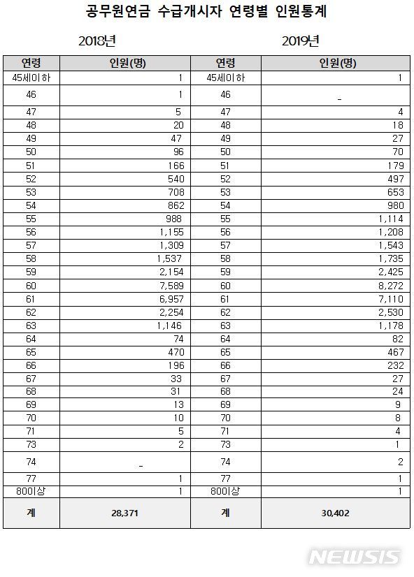
[서울=뉴시스]공무원연금 수급개시자 연령별 인원통계. (자료=강병원의원실 제공)

[서울=뉴시스]공무원연금 수급개시자 연령별 인원통계. (자료=강병원의원실 제공)

[서울=뉴시스] 김형섭 기자 = 국민연금 가입자는 65세가 돼야 연금 수령이 가능한 데 비해 공무원 퇴직자들은 여전히 젊은 나이부터 공무원연금을 받을 수 있어 특혜라는 지적이 제기됐다.

12일 국회 보건복지위원회 소속 더불어민주당 강병원 의원(서울 은평구을)이 공무원연금공단으로부터 제출받은 자료에 따르면 2018~2019년 처음으로 공무원 퇴직연금을 받기 시작한 인원은 총 5만8773명이며 60세 이하가 3만5904명으로 전체의 61.1%를 차지했다.

이 가운데 40대와 50대에 연금을 받기 시작한 퇴직 공무원은 각각 124명, 1만9919명으로 전체 수급개시자의 34.1%에 달했다. 60세도 1만5861명으로 전체의 26.9%였다.

이 중에는 45세 이하에 공무원연금을 받기 시작한 퇴직공무원이 2명 있었으며 46세와 47세도 각각 1명, 9명이었다.

2009년과 2015년에 진행된 대대적인 공무원연금 개혁으로 공무원연금 역시 국민연금처럼 '65세 수급연령'이 적용된다.

하지만 제도적 맹점과 기존 공무원 재직자에 대한 여러 특혜조항으로 '더 빨리받는 공무원연금'이 가능한 상황이다.

국민연금은 아무리 일찍 가입했어도 출생연도에 따라 연금 개시연령이 결정된다. 노무현 정부 시절 단행된 개혁에 따라 국민연금 개시연령은 출생연도에 따라 60세에서 65세로 조정됐다.

그러나 공무원연금의 경우 개시연령이 국민연금과 같은 65세로 돼 있지만 연금 개시 시점을 정하는 기준에 '퇴직연도'와 '입직연도' 등도 반영되고 있기에 여전히 기존 재직자의 기득권을 강하게 보장하고 있다고 강 의원은 지적했다.

구체적으로 퇴직연도별로 연급지급이 개시되는 나이를 살펴보면 ▲2016~2021년 퇴직시 60세 ▲2022~2023년 퇴직시 61세 ▲2024~2026년 퇴직시 62세 ▲2027~2029년 퇴직시 63세 ▲2030~2032년 퇴직시 64세 ▲2033년 이후 퇴직시 65세 등이다.

아무리 나이가 어린 공무원이라도 가입기간을 충족하고 2021년까지 퇴직하면 60세부터 연금 수급이 가능하다는 의미다. 동갑인 국민연금 수급자보다 5년 일찍 연금을 받을 수 있다.

만약 퇴직 후 경제활동을 하며 국민연금에 가입해 '연계연금'을 신청하면 국민연금 개시연령인 65세에 5년치 공무원연금을 일시불로 받는다.

특히 공무원연금법 부칙 10조 3항에 따라 빠르면 40대에도 연금을 받을 수 있다. 2000년 12월 제정된 이 부칙은 1996년 1월 이전에 임용된 공무원에 대해 부칙 시행일인 2000년 12월까지 재직기간이 20년에 미달한다면 이후 미달한 기간의 두 배 이상 재직하고 퇴직할 경우 바로 연금을 지급받을 수 있도록 하고 있다.

[서울=뉴시스] 보건복지위원회 더불어민주당 강병원 의원(사진=강병원 의원실 제공)

[서울=뉴시스] 보건복지위원회 더불어민주당 강병원 의원(사진=강병원 의원실 제공)

여러차례 공무원연금법이 바뀌고 수급연령이 조정돼 왔지만 이 부칙은 굳건히 남아 있었다.

해당 부칙에 따르면 1971년 1월생이 1990년 1월에 공무원을 시작했다면 2000년 12월까지 11년을 근무한 것이기 때문에 20년 기간 중 9년이 부족하다. 따라서 이 공무원이 2018년 12월까지 18년을 더 근무한다면 퇴직 즉시 만 48세의 나이로도 연금 수급이 가능하다. 동갑인 국민연금 가입자보다 무려 17년 일찍 연금을 받는 셈이다.

강 의원에 따르면 이 부칙의 적용을 받는 1996년 1월 이전 입직해 재직 중인 공무원은 32만명에 달한다.

공무원연금에서 특혜 지적을 받는 조항은 더 있다.

국민연금은 규정보다 더 일찍 받으면 1년에 6%씩, 최대 30%(5년)의 연금이 삭감되는데 반해 공무원연금은 1년에 5%만 삭감된다. 국민연금 부부 수급자는 배우자 사망시 유족연금의 30%만 받지만 부부 공무원은 유족연금을 50% 받는다.

또 공무원연금은 연금 산정시 기여금(보험료)을 납부하는 가입기간 상한(33년)을 넘긴 이후에 받는 소득도 반영된다. 연공서열 호봉제 기반인 공무원 임금 구조상 33년 이상 근무하고 받는 급여는 생애 최대 수준이며 연금 산정에도 반영되지만 연금보혐료는 한푼도 내지 않는 셈이다.

강 의원은 "공무원연금은 단적으로 40만명이 연간 3000만원씩 5년만 연금을 일찍 받아도 소요 비용이 무려 60조원"이라며 "올해만 2조1000억원에 이르는 적자보전금 해결과 일반 국민과의 형평성을 맞추기 위해 연금 개시연령을 국민연금과 같은 출생연도로 통일하는 개정이 시급하다"고 말했다.

이어 "국민들이 보기에는 모두 같은 공적연금인데 제도를 다루는 부처가 다르고 기관간 칸막이로 불필요한 격차가 방치되고 있다"며 "연금제도간 불필요한 차별 규정과 상이한 용어 등을 범부처TF를 구성해 꼼꼼하게 살펴 제도개혁을 실행해야 한다"고 주장했다.


◎공감언론 뉴시스 [email protected]

많이 본 기사