• 페이스북
  • 트위터
  • 유튜브

토끼고기 먹으면 살 덜 찐다고?…농진청, 항비만 효과 확인

등록 2025.03.26 13:50:42수정 2025.03.26 16:02:24

  • 이메일 보내기
  • 프린터
  • PDF

혈중 콜레스테롤 수치 줄고 지방간 개선 효과도

[서울=뉴시스] 사진은 토끼 모습. (사진= 자생한방병원 제공) 2022.01.02

[서울=뉴시스] 사진은 토끼 모습. (사진= 자생한방병원 제공) 2022.01.02

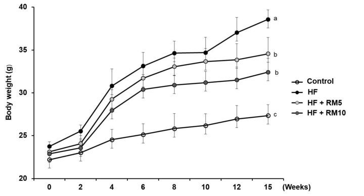
[세종=뉴시스]박광온 기자 = 농촌진흥청은 동물실험을 통해 토끼고기가 항비만과 지방간 개선 효과를 가졌다는 사실을 확인했다고 26일 밝혔다.

연구진은 먼저 실험용 쥐를 ▲일반(정상) 식이군 ▲토끼고기 미포함 고지방 식이군 ▲토끼고기 포함(5~10%) 고지방 식이군으로 나눈 후 15주 동안 사료를 줬다.

그 결과 토끼고기를 포함한 고지방 식이군의 체중 증가가 토끼고기를 포함하지 않은 단순 고지방 식이군과 비교해 유의미하게 억제됐다.

실험 초기(0주)에는 모든 실험군의 체중이 비슷한 수준이었으나, 토끼고기를 포함한 고지방 식이군은 이후 체중이 크게 늘어나지 않았다.

특히 토끼고기를 10% 포함한 식이군의 경우 5%를 포함한 식이군보다 체중 증가가 더욱 둔화했다.
[세종=뉴시스] 농촌진흥청은 동물실험을 통해 토끼고기가 항비만과 지방간 개선 효과를 가졌다는 사실을 확인했다고 26일 밝혔다. 자료는 토끼고기 사료를 먹은 쥐의 체중 변화를 보여주는 내용. (자료=농진청 제공) 2025.03.26. photo@newsis.com *재판매 및 DB 금지

[세종=뉴시스] 농촌진흥청은 동물실험을 통해 토끼고기가 항비만과 지방간 개선 효과를 가졌다는 사실을 확인했다고 26일 밝혔다. 자료는 토끼고기 사료를 먹은 쥐의 체중 변화를 보여주는 내용. (자료=농진청 제공) 2025.03.26. [email protected] *재판매 및 DB 금지


연구진은 실험군의 대사 상태를 통일시키기 위해 12시간 절식 상태에서 혈액 지표를 분석했다. 그 결과, 토끼고기를 섭취한 고지방 식이군은 토끼고기를 섭취하지 않은 고지방 식이군에 비해 혈중 콜레스테롤 수치가 최대 38% 감소했다.

또한 간 내 중성지방 함량도 26% 감소하는 경향을 보여 전반적인 대사 건강 개선 효과를 나타냈다. 간 손상 여부를 나타내는 효소 수치도 20% 이상 감소해 건강 역시 개선된다는 사실을 확인했다.

농진청은 2023년도에 지방 세포 모델 연구를 통해 토끼고기 추출물의 비만 개선 가능성을 확인한 바 있다.

한편, 토끼고기는 지방 함량이 낮고 미네랄과 비타민 비(B)12가 풍부하며, 체중 조절과 지방 축적 억제에 효과적인 불포화지방산을 다량 함유하고 있다.

동의보감과 민간요법에도 토끼고기는 고혈압, 당뇨, 동맥경화 예방 및 치료에 좋은 보양식으로 기록돼 있다.

강근호 농진청 국립축산과학원 축산푸드테크과장은 "토끼고기의 우수한 건강 기능성이 과학적으로 입증된 만큼, 토끼고기가 일상생활에서 쉽게 접할 수 있는 건강한 식재료로 자리 잡기를 바란다"며 "축산물의 다양한 가치를 알리고 건강한 식생활에 기여할 수 있는 관련 연구에 힘쓰겠다"고 밝혔다.
[세종=뉴시스] 농촌진흥청은 동물실험을 통해 토끼고기가 항비만과 지방간 개선 효과를 가졌다는 사실을 확인했다고 26일 밝혔다. 자료는 토끼고기 사료를 먹은 쥐의 혈중 콜레스테롤 수치 변화. (자료=농진청 제공) 2025.03.26. photo@newsis.com *재판매 및 DB 금지

[세종=뉴시스] 농촌진흥청은 동물실험을 통해 토끼고기가 항비만과 지방간 개선 효과를 가졌다는 사실을 확인했다고 26일 밝혔다. 자료는 토끼고기 사료를 먹은 쥐의 혈중 콜레스테롤 수치 변화. (자료=농진청 제공) 2025.03.26. [email protected] *재판매 및 DB 금지




◎공감언론 뉴시스 [email protected]

많이 본 기사